Resumos da matéria e exercícios resolvidos de todas as disciplinas do 9º ano de escolaridade:
Português, Inglês, Matemática, Ciências Naturais, FQ, Francês, História, Geografia.
Exames e testes intermédios.
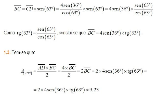
Trigonometria 2
Sem comentários:
Enviar um comentário
O teu comentário é muito importante para o bom funcionamento deste espaço
Obrigado
Página inicial
Subscrever:
Comentários (Atom)
Sem comentários:
Enviar um comentário
O teu comentário é muito importante para o bom funcionamento deste espaço
Obrigado